Let's take a look at a variety of examples working with geometric sequences and series.
Read the "Answers" carefully to find "hints" as to how to deal with these questions.
Questions:
|
Answers: |
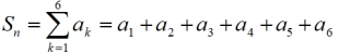
1. Find the value of . |
First, notice that the index starts with 0. 
This is geometric, common ratio 2, so the series formula could be used. Notice that the number of terms is 3.
But, sometimes the sigma has only a few terms and the sum can be found by mental addition. Unless a formula is specifically requested in the question, you can just add. |
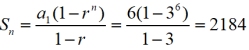
2. A geometric sequence is defined by the recursive formula a1 = 6 and an = 3 • an - 1.
Find the value of  |
The sigma indicates that the sum will be the addition of 6 terms from k = 1 to k = 6.
Use the recursive formula to find the terms and add.
6 + 18 + 54 + 162 + 486 + 1458 = 2184
OR
Since the formula is geometric and the question is asking for the sum of the first 6 terms, go right to the series formula ( r = 3 ).

|
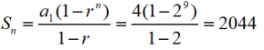
3. Evaluate using a series formula:
 |
Which series is needed: arithmetic or geometric?
List the terms from the summation to get a better idea of what is happening in the series.

This is clearly a geometric series with a common ratio of 3. By observation: n = 5, a1 = 3, r = 3
Be sure to show use of the geometric formula.
 |
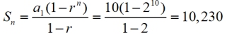
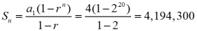
4. Use the geometric series formula to determine the value of 
|
Be careful on the number of terms, n.
The index goes from 0 to 9 which means there will be 10 terms (not 9).
a1 = 10, r = 2, n = 10

|
5. Find the sum of the first 8 terms of the sequence: -5, 15, -45, 135, -405, ... |
First determine that the sequence is geometric. It is, since each term is being multiplied by -3.
By observation: n = 8, a1 = -5, r = -3
Notice the word SUM. Use the series formula.

|
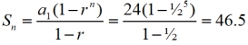
| 6. Find the sum of the first 5 terms of a geometric sequence whose first term 24 and whose common ratio is ½. |
Grab the geometric series formula:

Yes, there is a decimal in this answer.
The sequence is
{24, 12, 6, 3, 1½, ...}
|
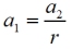
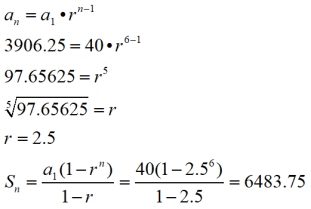
| 7. Find the sum of a geometric sequence whose first term is 40, the last term is 3906.25, and the number of terms is 6.
Notice how
BOTH formulas
work together to arrive
at the answer. |
|
We need to know the ratio, r.
Use the sequence formula to find r, then use the series formula to find the sum.
|
| 8. The second and third terms of a geometric sequence are 8 and 16. Find the sum of the first 20 terms of this sequence. |
We know the sequence is geometric, so the common ratio to get from 8 to 16 is r = 2.
To get the first term, work backward. If the second term is 8, the first term must be 4, so that 4 • 2 = 8.

The question asks for the sum:
 |
9. The second term of a geometric sequence is 9 and the fourth term is 81. Find the sum of the first 10 terms of this sequence.
|
The word "sum" indicates the need for the series formula. Both formulas will be needed.
We are missing the value of r and a1for the sum formula. Get a visual of what is given.
___, 9, ___, 81, ...
Let a1 = 9, a3= 81 (temporarily) and find r.

We are still missing a1 for the sum formula, so work backward (dividing 9 by 3) to get the first term of 3.
Now, we use this information to find the sum:
|
10. Find the sum of the sequence
{ 4, 8, 16, ..., 1024}
Remember that geometric series are exponential functions, so keep those exponential equation solving skills in mind. |
We don't know the number of terms, n, but we do know the first and last terms. Use the sequence formula for an to find the number of terms..
The sequence is geometric, common ratio r = 2. 
Now find the sum.
 |
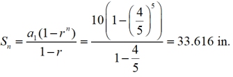
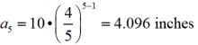
11. Russian nesting dolls are a set of wooden dolls of decreasing size placed inside one another. In order to fit properly, each doll must be 4/5 the height of the previous doll. The tallest doll is 10 inches in height.
Using geometric sequences and series, determine the answers to the following questions:
a) What is the height of the shortest doll in a set containing 5 dolls?
b) What is the combined height of all five dolls in the set?
 |
a) In a geometric sequence of heights, the shortest doll will be the fifth term.
The first term is 10, the r = 4/5.
b) A geometric series is needed for the combined heights.

|