One of the beautiful things about mathematics is the variety of ways to express concepts.
In this lesson, we are going to use the structure of a rational expression
to rewrite (modify) the expression to a different form, specifically a "quotient-remainder" form. |
There are numerous ways to modify (or rewrite) a rational expression.
Consider these few possible rewrites of a given rational expression: 
How a rational expression can be modified is based upon the structure and specific features
of the expression. Not all rational expressions contain the same features.
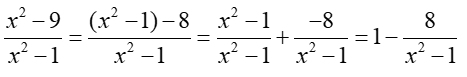
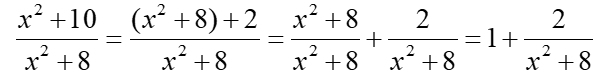
For example, the illustration above shows a rational expression that has the feature of a factorable numerator. But it also has the feature that its numerator can be rewritten to contain the denominator, as seen in the last rewrite. That last rewrite gives us a "quotient-remainder" form.
While "factoring" is usually our first "go to" feature, in this lesson we are going to focus on whether the rational expression possesses the feature where the numerator can be rewritten to contain the denominator. It will be this feature (that we will be examining), which will allow the rational expression to be modified into a "quotient-remainder" form, quickly, without long division.

Methods to obtain a "quotient-remainder" form for a rational expression:
| Method 1:
Modify by Long Division |
When we worked with polynomials, we worked with the Division Algorithm,
which expressed the division of two polynomials as
a quotient plus a remainder divided by the divisor.
By definition, rational expressions are in essence the "division" of two polynomials.
So, rational expressions can also be "modified" into the form stated by the Division Algorithm: 
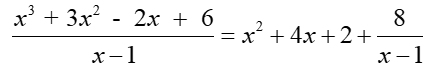
Under long division, we saw results such as

where a rational expression = a quotient + a remainder.
Long division can be applied to a rational expression to produce a "quotient-remainder" form. Keep this in mind if our investigation in Method 2 is not applicable to the given rational.
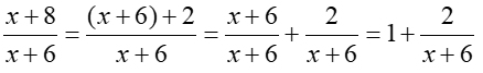
| Method 2: Modify by Inspection |
There are certain "simple" rational expressions that have features which allow them
to be modified into a "quotient-remainder" form simply by inspection.
In these expressions, it must be observable (with a little thinking and rearranging) that the numerator can be rewritten into an equivalent form containing the denominator.
Keep in mind that this process will only work for rational expressions whose features
allow for this observable relationship between the numerator and denominator.
If you cannot find such a numerator-denominator relationship,
then long division will be needed to arrive at a "quotient-remainder" form.
